Habe seit paar wochen eibach prokit federn verbaut. Bin eig total entäuscht davon. Das oem fahrwerk finde ich fantastisch. Was würde sich veränderen wenn man die oem federn kürzt? Abgesehen von der legalität!
Fahrverhalten mit gekürzten oem federn?
-
-
weniger windungen = härter
ich möchte mal vermuten, dass die damit zu hart werden und sich das auto
mit den oem dämpfern bscheiden fahren lassen wird,
weil da nix mehr zusammen passt.sowas haben meine eltern mit 18 gemacht, aber heute? nope

-
Zitat
Original von .: Dome :.
weniger windungen = härterWenn der Draht die Stärke nicht ändert oder die Feder progressiv gewickelt ist, wird die nicht härter
-
Schneller auf Anschlag.
Gehs sowiso nicht wegen der Aufnahme
-
Die Federn sind am Anfang und Ende so gedreht dass sie eben im Teller liegen.
Wenn man ein oder zwei Windungen wegschneidet liegen die Federn nicht mehr richtig auf --> ist schon mal gar nicht gut.
Härter wird die Feder dadurch nicht.
Bei mir sind ebenfalls nur andere Federn verbaut. Davon halte ich zwar nicht so viel weil somit Dämpfer und Federn nicht aufeinander abgestimmt sind, aber die waren halt schon drin.
Vom Fahrverhalten kann ich mal nichts sonderlich negatives behaupten, aber ich bin auch noch nicht mit OEM gefahren. -
Zitat
Original von Jay_Jay
Die Federn sind am Anfang und Ende so gedreht dass sie eben im Teller liegen.
Wenn man ein oder zwei Windungen wegschneidet liegen die Federn nicht mehr richtig auf --> ist schon mal gar nicht gut.Dann würde ich die zwei Windungen (oder drei oder vier) einfach aus der Mitte rausschneiden und die Enden zusammenschweißen.
-
Alternativ kann man die Federn auch in einen großen Schraubstock spannen, auf das gewünschte Maß zusammendrücken, mit Kabelbindern fixieren und dann wieder einbauen. Muss aber ein großer Schraubstock sein und Kabelbinder auch mindestens zwei pro Feder.
-
Zitat
Original von Jay_Jay
Härter wird die Feder dadurch nicht.Aber natürlich wird die Federung dadurch härter!
Das sollten aber echt die absoluten basics sein...
-
joa..... es gibt sehr viele Möglichkeiten sein Fahrverhalten komplett in die Tonne zu treten

nee mal im Ernst: ich hab auch kein Geld zu viel aber beim Fahrwerk ist nicht die richtige Stelle zum sparen und schon gar nicht zum knaupen. -
Aber natürlich wird die Federung dadurch härter!
Das sollten aber echt die absoluten basics sein... :?[/quote]Die Feder verändert dadurch nicht ihre Spannung.
-
Zitat
Original von Micha B
Aber natürlich wird die Federung dadurch härter!
Das sollten aber echt die absoluten basics sein...
Die Federrate ändert sich nicht durch kürzen einer Feder.
-
Fader härter, weicher, gleichbleibend ist ja auch egal, denn Federn abschneiden ist einfach

aber die Idee von Maggo mit den Kabelbindern find ich klasse
-
Wenn ich in Physik nicht die absolute Null war, würde ich sagen, dass die Federrate bei EINER Windung die gleiche ist wie bei einer kompletten Feder. Denn die Kraft ändert sich ja nicht nur weil auf der einen Windung noch zwanzig andere sitzen.
Pack die Feder lieber in den Schraubstock und mach das mit den Kabelstrapsen und ändere somit die FederVORSPANNUNG.
*Hinweis* Die letzte Bemerkung ist nicht ernst gemeint.
-
Oder Federklammern http://www.sandtler24.de/federklammern?c=201732

Würde ich aber nicht machen, entweder passende Federn/Fahrwerk oder gar nicht -
Zitat
Original von Tiedchen
Oder Federklammern http://www.sandtler24.de/federklammern?c=201732
Würde ich aber nicht machen, entweder passende Federn/Fahrwerk oder gar nichtKrass, dass es sowas ueberhaupt zu kaufen gibt.
-
Zitat
Original von Kiyoshi
Krass, dass es sowas ueberhaupt zu kaufen gibt.
und dann auch noch von sandtler

-
Zitat
Original von Maggo#13
Wenn ich in Physik nicht die absolute Null war,...Behauptet ja keiner

Ich erklärs mal an nem gaaaanz einfachen Beispiel:
Setz dich mal auf einen 1cm dicken Schaumstoff drauf und dann auf 10 cm dicken, ansonsten gleichen Schaumstoff. Was fällt dir dabei auf?
Wahrscheinlich zwei Dinge:
- auf 10 cm sitzt man weicher
- auf 10 cm sinkt man tiefer einDie Übertragung auf das Fahrwerk überlass ich wieder dir

-
Die Feder wird härter wenn man weniger Windungen hat.
-
Zitat
Original von Micha B
Ich erklärs mal an nem gaaaanz einfachen Beispiel:
Setz dich mal auf einen 1cm dicken Schaumstoff drauf und dann auf 10 cm dicken, ansonsten gleichen Schaumstoff. Was fällt dir dabei auf?
Wahrscheinlich zwei Dinge:
- auf 10 cm sitzt man weicher
- auf 10 cm sinkt man tiefer einDie Übertragung auf das Fahrwerk überlass ich wieder dir

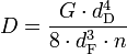
Super erklärt! Zum Vergleich die Formel der Federrate:
D = Federrate
dD = Drahtdurchmesser
dF = Federdurchmesser
n = Windungsanzahl
G = Schubmodul -
Danko roku für eine vernünftige Erklärung.
Ich lasse mich gerne belehren.
Aaaaaaber: es wird 10cm Schaumstoff mit 1cm Schaumstoff verglichen = anstatt z.B. 20 windungen fahre ich jetzt mit 2 windungen.

Vergleiche ich jedoch 10cm Schaumstoff mit 9cm werd ich wohl kaum etwas davon merken = 18 windungen anstatt 20 machen wohl nicht sehr viel Unterschied.
Oder hat es schon mal jemand gemacht und weiß wie es sich anfühlt. -


